2017년 전기기사 3회차 61번 - 기출문제 및 해설
문제 1
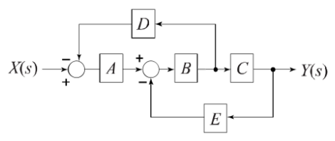
다음 블록선도의 전달함수는?
1.
Y
(
s
)
X
(
s
)
=
A
B
C
1
+
B
C
D
+
A
B
E
\frac{Y(s)}
{X(s)} =
\frac{ABC}
{1+BCD+ABE}
X
(
s
)
Y
(
s
)
=
1
+
BC
D
+
A
BE
A
BC
2.
Y
(
s
)
X
(
s
)
=
A
B
C
1
+
B
C
D
+
A
B
D
\frac{Y(s)}
{X(s)}=
\frac{ABC}
{1+BCD+ABD}
X
(
s
)
Y
(
s
)
=
1
+
BC
D
+
A
B
D
A
BC
3.
Y
(
s
)
X
(
s
)
=
A
B
C
1
+
B
C
E
+
A
B
D
\frac{Y(s)}
{X(s)} =
\frac{ABC}
{1+BCE+ABD}
X
(
s
)
Y
(
s
)
=
1
+
BCE
+
A
B
D
A
BC
4.
Y
(
s
)
X
(
s
)
=
A
B
C
1
+
B
C
E
+
A
B
E
\frac{Y(s)}
{X(s)} =
\frac{ABC}
{1+BCE+ABE}
X
(
s
)
Y
(
s
)
=
1
+
BCE
+
A
BE
A
BC
💡 로그인하면 학습 진행률이 자동으로 저장되고, 북마크와 오답노트를 사용할 수 있습니다.
댓글
0/500
등록
이전
다음