2018년 전기기사 1회차 74번 - 기출문제 및 해설
문제 1
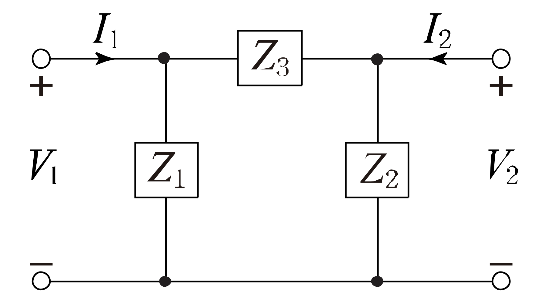
그림과 같은 4단자 회로망에서 하이브리드 파라미터
H
11
H_{11}
H
11
은?
1.
Z
1
Z
1
+
Z
3
\frac{Z_1}
{Z_1+Z_3}
Z
1
+
Z
3
Z
1
2.
Z
1
Z
1
+
Z
2
\frac{Z_1}
{Z_1+Z_2}
Z
1
+
Z
2
Z
1
3.
Z
1
Z
3
Z
1
+
Z
3
\frac{Z_1Z_3}
{Z_1+Z_3}
Z
1
+
Z
3
Z
1
Z
3
4.
Z
1
Z
2
Z
1
+
Z
2
\frac{Z_1Z_2}
{Z_1+Z_2}
Z
1
+
Z
2
Z
1
Z
2
💡 로그인하면 학습 진행률이 자동으로 저장되고, 북마크와 오답노트를 사용할 수 있습니다.
이전
다음