문제 1
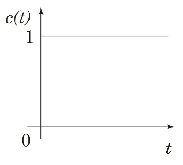
전달함수
G(s) = \frac{1}{s+a}
일 때, 이 계의 임펄스응답
c(t)
를 나타내는 것은?(단, a는 상수이다.)
1.
2.
3.
4.
💡 로그인하면 학습 진행률이 자동으로 저장되고, 북마크와 오답노트를 사용할 수 있습니다.
이전
다음