2019년 전기기사 1회차 61번 - 기출문제 및 해설
문제 1
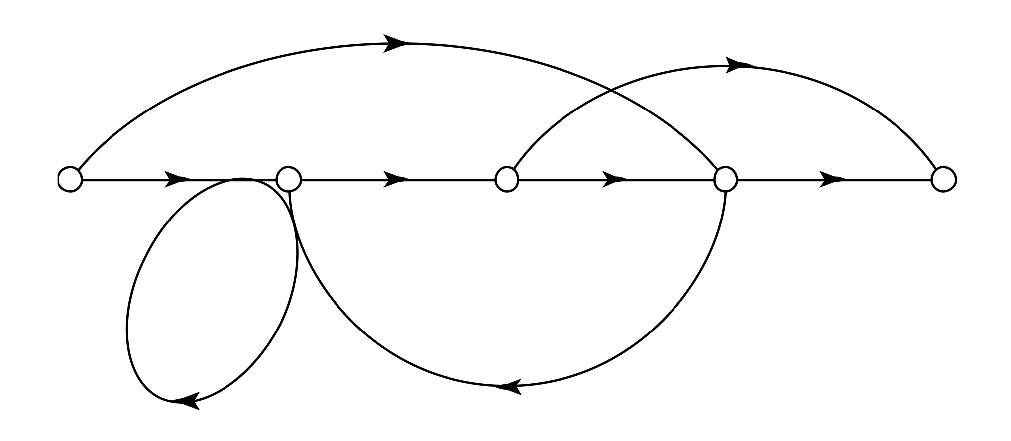
다음의 신호 흐름 선도를 메이슨의 공식을 이용하여 전달함수를 구하고자 한다. 이 신호흐름 선도에서 루프(Loop)는 몇 개 인 가?
1.
0
2.
1
3.
2
4.
3
💡 로그인하면 학습 진행률이 자동으로 저장되고, 북마크와 오답노트를 사용할 수 있습니다.
이전
다음