2019년 전기기사 2회차 72번 - 기출문제 및 해설
문제 1
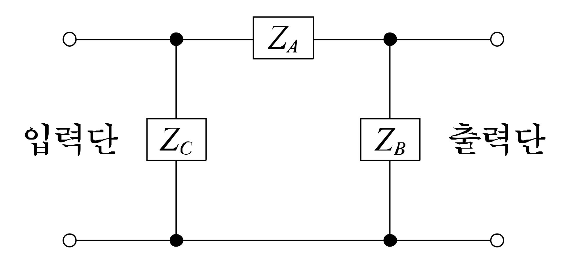
회로에서 4단자 정수 A, B, C, D의 값은?
1.
A
=
1
+
Z
A
Z
B
,
B
=
Z
A
,
A = 1+{
\frac{Z_A}
{Z_B}}, B =Z_A,
A
=
1
+
Z
B
Z
A
,
B
=
Z
A
,
C
=
1
Z
A
,
D
=
1
+
Z
B
Z
A
C =
\frac{1}
{Z_A}, D= 1+
\frac{Z_B}
{Z_A}
C
=
Z
A
1
,
D
=
1
+
Z
A
Z
B
2.
A
=
1
+
Z
A
Z
B
,
B
=
Z
A
,
A = 1+
\frac{Z_A}
{Z_B}, B =Z_A,
A
=
1
+
Z
B
Z
A
,
B
=
Z
A
,
C
=
1
Z
B
,
D
=
1
+
Z
A
Z
B
C =
\frac{1}
{Z_B}, D= 1+
\frac{Z_A}
{Z_B}
C
=
Z
B
1
,
D
=
1
+
Z
B
Z
A
3.
A
=
1
+
Z
A
Z
B
,
B
=
Z
A
,
A = 1+
\frac{Z_A}
{Z_B}, B =Z_A,
A
=
1
+
Z
B
Z
A
,
B
=
Z
A
,
C
=
Z
A
+
Z
B
+
Z
C
Z
B
Z
C
,
C =
\frac{Z_A +Z_B +Z_C}
{Z_BZ_C},
C
=
Z
B
Z
C
Z
A
+
Z
B
+
Z
C
,
D
=
1
+
1
Z
B
Z
C
D= 1+
\frac{1}
{Z_BZ_C}
D
=
1
+
Z
B
Z
C
1
4.
A
=
1
+
Z
A
Z
B
,
B
=
Z
A
,
A = 1+
\frac{Z_A}
{Z_B}, B =Z_A,
A
=
1
+
Z
B
Z
A
,
B
=
Z
A
,
C
=
Z
A
+
Z
B
+
Z
C
Z
B
Z
C
,
C =
\frac{Z_A +Z_B +Z_C}
{Z_BZ_C},
C
=
Z
B
Z
C
Z
A
+
Z
B
+
Z
C
,
D
=
1
+
Z
A
Z
C
D= 1+
\frac{Z_A}
{Z_C}
D
=
1
+
Z
C
Z
A
💡 로그인하면 학습 진행률이 자동으로 저장되고, 북마크와 오답노트를 사용할 수 있습니다.
이전
다음