2021년 전기기사 1회차 72번 - 기출문제 및 해설
문제 1
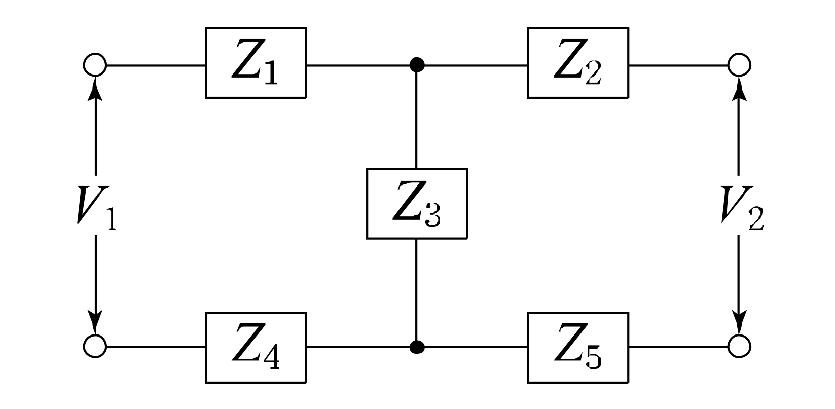
그림과 같은
H
H
H
형 4단자 회로망에서 4단자 정수(전송파라미터)
A
A
A
는?
(단,
V
1
V_1
V
1
은 입력전압이고,
V
2
V_2
V
2
는 출력전압이고,
A
A
A
는 출력 개방 시 회로망의 전압 이득
(
V
1
V
2
)
(
\frac{V1}
{V2})
(
V
2
V
1
)
이다.)
1.
Z
1
+
Z
2
+
Z
3
Z
3
\frac{Z_1+Z_2+Z_3}
{Z_3}
Z
3
Z
1
+
Z
2
+
Z
3
2.
Z
1
+
Z
3
+
Z
4
Z
3
\frac{Z_1+Z_3+Z_4}
{Z_3}
Z
3
Z
1
+
Z
3
+
Z
4
3.
Z
2
+
Z
3
+
Z
5
Z
3
\frac{Z_2+Z_3+Z_5}
{Z_3}
Z
3
Z
2
+
Z
3
+
Z
5
4.
Z
3
+
Z
4
+
Z
5
Z
3
\frac{Z_3+Z_4+Z_5}
{Z_3}
Z
3
Z
3
+
Z
4
+
Z
5
💡 로그인하면 학습 진행률이 자동으로 저장되고, 북마크와 오답노트를 사용할 수 있습니다.
이전
다음