2020년 전기기사 1, 2회차 64번 - 기출문제 및 해설
문제 1
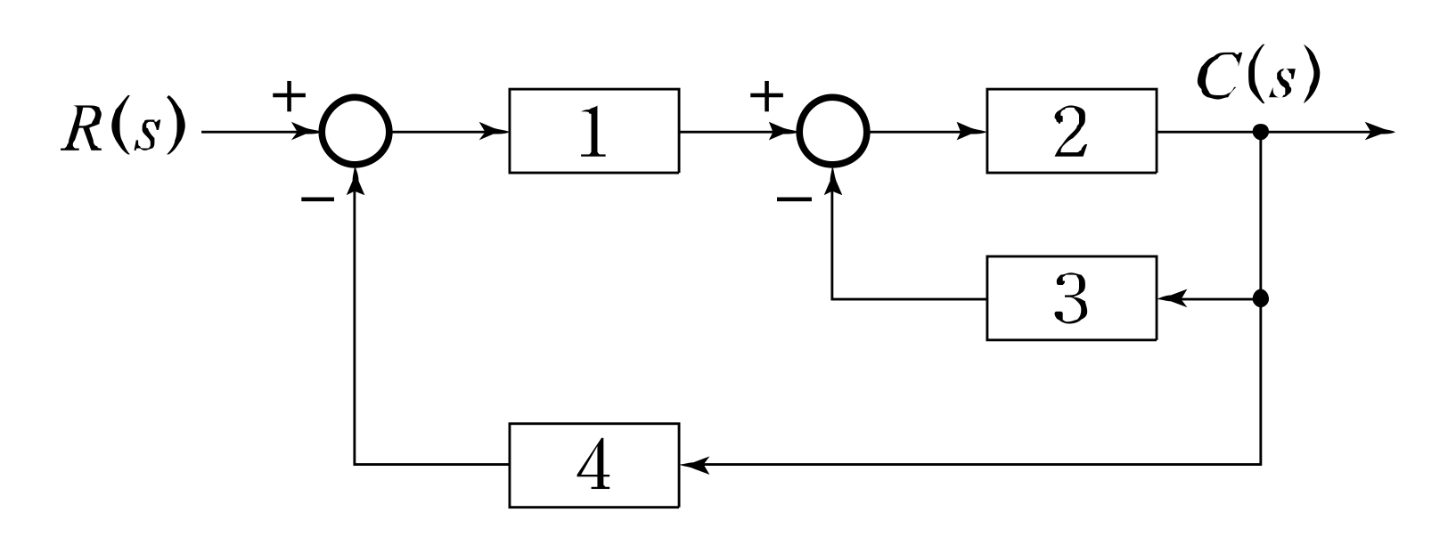
그림과 같은 제어시스템의 전달함수
C
(
s
)
R
(
s
)
\frac{C(s)}
{R(s)}
R
(
s
)
C
(
s
)
는?
1.
1
15
\frac{1}
{15}
15
1
2.
2
15
\frac{2}
{15}
15
2
3.
3
15
\frac{3}
{15}
15
3
4.
4
15
\frac{4}
{15}
15
4
💡 로그인하면 학습 진행률이 자동으로 저장되고, 북마크와 오답노트를 사용할 수 있습니다.
댓글
0/500
등록
이전
다음