2023년 전기기사 2회차 78번 - 기출문제 및 해설
문제 1
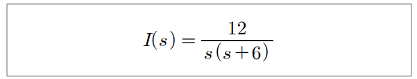
다음과 같은
I
(
s
)
I(s)
I
(
s
)
의 초기값
I
(
0
+
)
I(0^+)
I
(
0
+
)
가 바르게 구해진 것은?
1.
2
2.
12
3.
0
4.
6
💡 로그인하면 학습 진행률이 자동으로 저장되고, 북마크와 오답노트를 사용할 수 있습니다.
댓글
0/500
등록
이전
다음