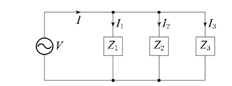
문제 1
회로에서
I_1=2e^{j\frac{\pi}{3}}[A]
,
I_2=5e^{-i\frac{\pi}{3}}[A]
,
I_3=1[A]
,
Z_3=10[\Omega]
일 때 부하
(Z_1, Z_2, Z_3)
전체에 대한 복소전력은 약 몇
[VA]
인가?
1.
45-j26
2.
45+j26
3.
55-j7
4.
55+j7
💡 로그인하면 학습 진행률이 자동으로 저장되고, 북마크와 오답노트를 사용할 수 있습니다.
이전
다음