문제 1
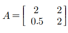
상태방정식
\frac{d}{dt}x(t)=Ax(t)+Bu(t)
에서
이라면 A의 고유값은?
1.
1, 3
2.
1, -5
3.
2, 3
4.
2, -5
💡 로그인하면 학습 진행률이 자동으로 저장되고, 북마크와 오답노트를 사용할 수 있습니다.
이전
다음