2025년 전기기사 1회차 76번 - 기출문제 및 해설
문제 1
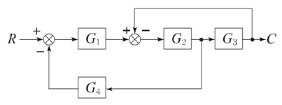
그림과 같은 블록선도에 대한 등가 종합 전달함수(C/R)는?
1.
G
1
,
G
2
,
G
3
1
+
G
1
G
2
+
G
1
G
2
G
3
\frac{G_1,G_2,G_3}
{1+G_1G_2+G_1G_2G_3}
1
+
G
1
G
2
+
G
1
G
2
G
3
G
1
,
G
2
,
G
3
2.
G
1
,
G
2
,
G
3
1
+
G
2
G
2
+
G
1
G
2
G
3
\frac{G_1,G_2,G_3}
{1+G_2G_2+G_1G_2G_3}
1
+
G
2
G
2
+
G
1
G
2
G
3
G
1
,
G
2
,
G
3
3.
G
1
,
G
2
,
G
4
1
+
G
1
G
2
+
G
1
G
2
G
4
\frac{G_1,G_2,G_4}
{1+G_1G_2+G_1G_2G_4}
1
+
G
1
G
2
+
G
1
G
2
G
4
G
1
,
G
2
,
G
4
4.
G
1
,
G
2
,
G
3
1
+
G
2
G
3
+
G
1
G
2
G
4
\frac{G_1,G_2,G_3}
{1+G_2G_3+G_1G_2G_4}
1
+
G
2
G
3
+
G
1
G
2
G
4
G
1
,
G
2
,
G
3
💡 로그인하면 학습 진행률이 자동으로 저장되고, 북마크와 오답노트를 사용할 수 있습니다.
이전
다음