2025년 전기기사 1회차 71번 - 기출문제 및 해설
문제 1
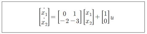
다음과 같은 상태방정식으로 표현되는 제어시스템의 특성방정식의 근(
s
1
,
s
2
s_1,s_2
s
1
,
s
2
)은?
1.
1, -3
2.
-1, -2
3.
-2, -3
4.
-1, -3
💡 로그인하면 학습 진행률이 자동으로 저장되고, 북마크와 오답노트를 사용할 수 있습니다.
이전
다음